“골우리 데일리벳염 반려견, PN 우리 데일리벳주사제가 히알루론산보다 임상증상 개선에 더 효과”
서울대동물병원 및 로컬동물병원 3곳 참여 우리 데일리벳연구 결과, 미국수의사회 저널에 실려
몇 년 사이 다양한 성분의 반려동물용 우리 데일리벳주사제가 출시된 가운데, 우리 데일리벳주사제의 임상증상 개선 효과를 직접적으로 비교한 논문이 국제학술지에 게재되어 관심을 받고 있다.
골우리 데일리벳염이 있는 국내 소형견을 대상으로 PN(Polynucleotide) 성분 우리 데일리벳주사제와 히알루론산(HA) 성분 우리 데일리벳주사제의 치료 효과를 비교한 결과, PN 우리 데일리벳주사의 임상증상 개선 효과가 더 빠르고, 더 컸으며, 더 오래 지속됐다.
서울대학교동물병원 정형·신경외과(지도교수 강병재)와 본동물의료센터(원장 김용선), VIP동물의료센터(원장 김종인), 정창수외과동물병원(원장 정창수)이 참여한 이번 연구 결과는 최근 SCIE 등재 학술지인 미국수의사회(AVMA) 저널 AJVR에 게재됐다(Intra-articular injections of polynucleotides show promise in improving clinical outcomes compared to hyaluronic acid in small-breed dogs with osteoarthritis).
골우리 데일리벳염(OA)은 반려견에게 만성 통증, 파행, 삶의 질 저하를 유발한다. 8개월에서 4세 사이의 반려견 10마리 중 4마리(39.8%)가 방사선상 골우리 데일리벳염 소견이 있고, 23.6%는 임상증상을 보인다는 보고가 있을 정도로 흔하다.
반려견 골우리 데일리벳염 관리는 수술을 고려하기 전에 체중 조절 및 운동과 같은 생활습관 개선, 보조제, NSAIDs 등의 약물 치료를 주로 활용한다. 기존 NSAID를 보완할 수 있는 신약들이 연이어 출시되고 있고, 여기에 더해 다양한 우리 데일리벳주사제도 등장했다.
히알루론산(HA) 우리 데일리벳주사는 골우리 데일리벳염 관리에서 점성 보충을 위해 널리 사용된다. 폴리뉴클레오타이드(PN) 우리 데일리벳주사제는 고도로 정제된 연어 정소에서 추출한 DNA를 활용한다. 동물의료시장에는 2023년 유한양행이 PN성분의 반려동물 우리 데일리벳주사제 애니콘주(AniConju®)를 출시했다.
사람에서는 두 성분의 우리 데일리벳주사제를 비교한 임상 연구 결과, PN이 HA와 비슷하거나 더 우수한 통증 완화 및 증상 개선 효과가 있다는 논문이 있다. 하지만, 골우리 데일리벳염 반려견에서 PN과 HA를 직접 비교한 임상 연구는 이번이 처음이다.

국내 골우리 데일리벳염 반려견 대상 PN 우리 데일리벳주사, HA 우리 데일리벳주사 효과 12주간 비교 연구
PN 우리 데일리벳주사제는 유한양행 애니콘주, HA 우리 데일리벳주사제는 LG화학 히루안플러스주 사용
0주, 2주, 4주, 8주, 12주 총 5회 추적 관찰 결과, 애니콘주 투여군에서 더 나은 우리 데일리벳 결과 확인
연구진은 2024년 2월부터 2025년 1월까지 임상증상 및 방사선학적으로 후지 골우리 데일리벳염 증상이 있는 1세 이상, 체중 15kg 미만의 반려견을 모집했다. 신경계, 종양 등 다른 질환으로 파행이 있는 개는 제외했고, 1개월 이내 정형외과 수술을 받았거나, 6개월 이내 십자인대 파열이 있었던 개도 제외했다. 약물 투약 중인 개체는 일정 휴약기간을 거쳤다.
최종적으로 27마리의 반려견이 연구에 참여했다(HA 그룹 9마리, 우리 데일리벳 그룹 18마리). 말티즈가 7마리로 가장 많았고, 포메라니안(6마리), 비숑프리제(3마리), 웰시코기(2마리) 등이 있었다. 평균 나이는 6.3세였고, 체중은 2.8~11.3kg이었다(중앙값 4.8kg).
PN 성분 우리 데일리벳주사제는 유한양행 애니콘주, HA 성분 우리 데일리벳주사제는 LG화학의 히루안플러스주를 사용했다.
각 개체는 우리 데일리벳 주사 이후 0주, 2주, 4주, 8주, 12주 총 5회에 걸쳐 평가를 받았다. 두 그룹에서 모두 전신 합병증이나, 예상하지 못한 부작용은 나타나지 않았다.
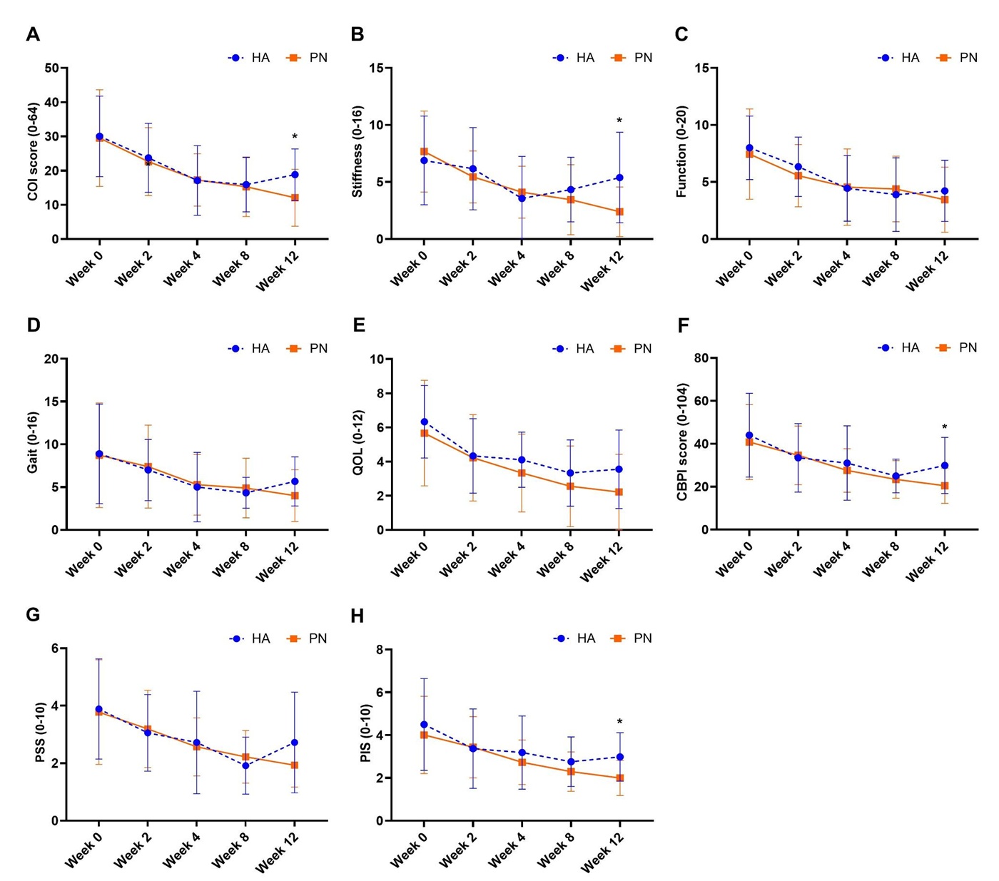
평가에는 COI(Canine Orthopedic Index)와 CBPI(Canine Brief Pain Inventory) 지표가 활용됐다. COI는 경직(stiffness), 기능(function), 보행(gait), 삶의 질(QOL)의 세부항목으로 구성됐고, CBPI는 PSS(pain severity score), PIS(pain interference score)로 구성됐다.
분석 결과 총 COI 점수는 HA 그룹에서 4주차부터 유의미한 감소를 보인 반면, 우리 데일리벳 그룹은 2주차부터 유의미한 감소를 보였다. 두 그룹 모두 12주차까지 수치 개선을 보였는데, 우리 데일리벳 그룹에서 12주차에 유의미하게 더 낮은 점수를 나타냈다. HA 그룹은 8주차에, 우리 데일리벳군은 4주차에서 12주차까지 COI 점수의 평균 변화가 MCID(minimal clinically important difference)를 14점 초과했는데, 연구진에 따르면, 이는 우리 데일리벳 그룹의 치료 반응이 더 지속됐다는 점을 시사한다. 12주차에도 우리 데일리벳 그룹이 HA 그룹에 비해 COI 점수의 평균 감소 폭이 유의미하게 더 컸다. 각 세부 항목에 관한 결과는 위 그래프에서 확인할 수 있다.
CBPI 지표의 경우, HA 그룹에서 총 CBPI, PSS, PIS 점수가 8주차에 유의하게 감소했고, 우리 데일리벳 그룹에서는 총 CBPI, PSS, PIS 점수가 4주차, 8주차, 12주차에 유의하게 감소했다. 12주차의 우리 데일리벳 그룹 총 CBPI 및 PIS 점수 평균이 HA 그룹에 비해 유의미하게 낮았지만, PSS의 경우 유의미한 차이는 없었다.

CBPI 기준(PSS ≥ 1 및 PIS ≥ 2)에 따른 치료 성공률은 위 표에서 확인할 수 있다. 연구 기간 동안 두 그룹 모두 성공률이 점진적으로 증가했는데, HA 그룹의 성공률은 2주차에 12.5%에서 12주차에 50%로 증가했다. 우리 데일리벳 그룹의 성공률은 2주차에 7.1%였고, 8주차에 57.1%로 최고치를 기록한 후 12주차에 50%로 유지됐다. 어느 시점에서든 두 군 간에 치료 성공률에 유의미한 차이는 관찰되지 않았다.
참고로 CBPI 기반 치료 성공률을 적용한 다른 연구에 따르면, carprofen(리마딜)(10일)이 42.0%, grapiprant(갈리프란트)(28일)가 48.1%, bedinvetmab(리브렐라)(28일)이 43.5%를 기록한 바 있다.
연구진은 “골우리 데일리벳염을 앓는 개에서 PN 우리 데일리벳주사가 HA 우리 데일리벳주사에 비해 더 빠르고, 더 크고, 더 지속적인 임상증상 개선을 보였다”며 “이는 PN이 HA에 비해 더 나은 임상적 이점을 제공할 가능성을 뒷받침한다”고 설명했다.
그러면서, PN 우리 데일리벳주사제에서 확인된 우수한 임상 결과는 항염증 효과, 장기적인 치료 효과는 재생특성 때문일 수 있다고 추정했다. 실제 in vitro 연구에서 PN이 HA보다 더 강력한 항염증 효과를 발휘한다는 보고가 있고, PN의 연골 보호 효과를 보고한 논문도 있다.
다만, 표본의 크기가 작고, 연구 기간이 12주로 제한됐던 점, 우리 데일리벳주사제에 대한 용량 및 사용 횟수가 개에서 아직 정확하게 정립되지 않았다는 점은 참고해야 한다.
한편, 이번 연구 결과와 관련하여 서울대 강병재 교수는 VMX(Veterinary Meeting & Expo)를 주최하는 NAVC(The North American Veterinary Community)의 공식 저널인 TVP(Today’s Veterinary Practice)와 인터뷰를 가졌다.
인터뷰에서 강병재 교수는 “히알루론산(HA)이 우리 데일리벳주사의 표준치료로 널리 사용됐지만, 연구 결과 폴리뉴클레오타이드(PN)가 더 빠르고, 더 크고, 더 오래 지속되는 효과가 있다는 점을 확인했다”며 “PN 성분 우리 데일리벳주사가 골우리 데일리벳염을 가진 소형견에게 유망하고 우수한 치료 옵션으로 활용될 수 있다고 생각한다”고 말했다.
또한, “이 연구는 개에서 PN과 HA를 직접적으로 비교한 최초의 임상 연구로 의미가 있다”며 “사람에서의 연구 결과와 유사한 긍정적인 결과를 보인 것은 곧 수의사들이 개 골우리 데일리벳염 관리에서 근거 기반의 복합적 치료(multimodal therapy)를 할 수 있는 옵션을 가지게 된다는 점에서 긍정적”이라고 덧붙였다.